Our bar graph worksheets are some of the best on the internet for helping students learn how to read and interpret data. These worksheets are completely free and can be used in the classroom or for homework assignments. With a variety of different exercises, our bar graph worksheets are perfect for practicing this important skill. Our worksheets cover everything from comparing data sets to reading and understanding the different parts of a bar graph. So if you want the best bar graph worksheets on the internet, look no further! Our free bar graph worksheets are exactly what you need.
Browse Sheets By Problem Type
×
Traditional Bar Graphs
Link
4 Bars - Single Unit
2md10

×
Description:
"This worksheet is designed to teach children the fundamentals of interpreting bar graphs in an engaging way. The focus is on reading graphs to understand and compare monetary savings data. With 10 problems, children can engage with real-world applications of math. The worksheet is flexible and can be customised to your child's needs, even converted into flashcards for convenient learning. It also serves as an excellent resource for distance learning, making math education accessible and fun."

×
Student Goals:
Understanding GraphsStudents should have a good command over reading and interpreting bar graphs. They should be able to distinguish the different segments, their sizes and accurately identify and compare the quantities represented by these segments on the bar graph. Grasping the concept of graphical representation of data will equip these young learners with the aptitude to navigate through the increasingly data-centric world.Problem-solving skillsThe worksheet is also designed to improve students' problem-solving skills. They should be able to decipher the problem in each question, apply the right approach to find the solution and understand the logic behind each solution. This enhances their analytical thinking and improves their ability to solve real-life problems.Basic mathematical conceptsStudents should be able to grasp basic mathematical facets like understanding quantities, differences, comparisons and totals. They should be equipped to identify who has saved the most or the least amount of money, what the difference is between two amounts, and what the total sum of money saved is. This understanding will lay a solid foundation for dealing with numbers and calculations in their future academic journey.Comparison skillsA crucial accomplishment is the enhancement of the children's ability to compare and contrast quantities. They will be enabled to tell who saved more or less money, thereby building the rudimentary concepts of comparison into their cognitive skill set. This will allow them to better interact with their environment, making them more competent in distinguishing between various quantities and scales.Applied learningUsing real life context such as savings, this worksheet thereby introduces young learners to the concept of applied learning. After completing the worksheet, they should be able to apply the mathematical concept of 'saving' in their real life, enhancing their arithmetical competence and equipping them with the knowledge to manage finances at an elementary level.
5 Bars - Single Unit
3md3

×
Description:
"This worksheet is designed to enhance children's understanding of bar graphs in math. It features 10 engaging problems where youngsters interpret data, compare figures, and analyze subject popularity based on student votes. Versatile and adaptable, it suits various learning approaches. Customize per your needs, convert into flashcards for hands-on learning, or integrate into any distance learning curriculum for a fruitful educational experience."

×
Student Goals:
Improved Data Interpretation SkillsStudents will develop the ability to interpret bar graphs. They would understand how to analyze the vertical or horizontal bars, representing the data in the graph, helping them to make comparative observations. This worksheet will lay down the foundation for data handling skills, which is a significant skill required in the real world.Enhanced Critical Thinking and Problem-Solving SkillsThe students will boost their problem-solving skills. Analyzing bar graphs and answering related questions requires strategizing and reasoning. They will become proficient in extracting and manipulating data from a given bar graph. Their critical thinking abilities will be enhanced, preparing them for higher-level mathematical challenges.Understanding of Mathematical ConceptsCompletion of this worksheet equips learners with a deeper understanding of fundamental mathematical concepts. For instance, they will be able to comprehend values, differences, and total number data points. They will also learn about concepts like most, least, and fewer, leading to a composed mental mathematical structure.Better Quantitative LiteracyThis worksheet will enrich students' numerical skills and overall quantitative literacy. Understanding number co-relations, working out differences between numbers, and determining total counts represented on a bar graph would help nurture their mathematical reasoning skills and quantitative aptitude.Skills in Comparative AnalysisStudents will learn how to make comparative analyses. They will examine and compare data from different sections of the bar graph, allowing them to draw accurate and rational conclusions. This is a skill that extends beyond mathematics, essential in other academic areas and life situations.Foster Curiosity and Enthusiasm for LearningBy offering a variety of problems, this worksheet will stoke the curiosity of students, encouraging a more profound interest in problem-solving. It fosters enthusiasm for learning as students enjoy the satisfaction of accurately interpreting data to solve problems.Increased Academic Performance and ConfidenceSolving such worksheets can lead to improvements in academic performance in the subject of Math. Additionally, as they become more adept at solving the problems within the worksheet, their confidence in handling similar problems in the future would be significantly boosted.
4 Bars - Single Unit
2md10

×
Description:
"This worksheet is designed to enhance children's mathematical skills specifically in reading and interpreting bar graphs. Featuring 10 problems, it presents questions about point comparisons among teams, highest and lowest scores. The customizable content can easily be converted into flash cards for interactive learning or utilized in distance learning settings, fostering independent comprehension of this critical aspect of math education."

×
Student Goals:
Understanding the Concept of Bar GraphsThe completion of this worksheet should enable children to understand and interpret the information presented via bar graphs. They should be able to analyze the relative heights of different bars, distinguishing between longer and shorter ones and understanding what that difference signifies in the context of the data being presented. This skill is crucial for data interpretation not only in math, but in science, and social studies as well.Application of Mathematical OperationsAfter completing the worksheet, the students should be more competent in applying basic mathematical operations such as addition, subtraction, and comparison when interpreting data from bar graphs. This means they can determine more or fewer scored points, the team with most or fewest points, the total points scored, and the points scored by a particular team or teams. These abilities reinforce the practical use of math in real-world situations.Critical Thinking and Analytical SkillsStudents will develop their critical thinking and analytical skills. They will be able to identify trends, make comparisons, and interpret data in context, skills which are transferable to many other areas of study and everyday life. For instance, the ability to discern which team scored 20 points means they can spot specific data in a larger set.Problem Solving AbilitiesStudents should demonstrate improved problem-solving abilities by drawing logical conclusions from the data represented. By discerning differences in points scored between teams, they are fostering an understanding of the application of mathematics in problem-solving.Incremental Learning and Confidence BuildingLastly, completing the worksheet successfully should result in students building their confidence in understanding and using bar graphs. This confidence can stimulate interest and curiosity in further learning about more complex data interpretation involving other forms of graphs and charts. Incremental learning like this forms a strong foundation for more advanced topics in future mathematical studies.
Selecting Appropriate Graph
3md3

×
Description:
"This worksheet is designed to boost children's analytical skills in math, focusing on the concept of graph interpretation. It contains four engaging problems, asking students to match data to corresponding graphs. Each problem can be customized to align with various learning objectives. With its flexibility, it can be converted into flashcards or utilized for distance learning, promoting an effective and interactive approach to grasp and master this crucial math competency."

×
Student Goals:
Interpret and Analyze GraphsUpon successful completion of this worksheet, students should be able to accurately interpret and analyze graphical data. They will have a solid understanding of how to read different types of graphs, identifying the points on the graph and understanding what those points represent in a real-world context. From bar graphs to line charts, students will gain the ability to extract meaningful conclusions from the presented data.Critical Thinking and Problem-Solving SkillsStudents will develop their critical thinking and problem-solving skills, essential components in math and other areas of study. By analyzing data and making matches, students are actively engaged in problem-solving scenarios. These exercises require students to think critically, make decisions, and understand the consequences of these decisions, fostering cognitive growth and development.Data RepresentationLearners will acquire knowledge about data representation. They will understand how different data sets can be visually depicted through graphs. They will learn to associate values with different data categories and perceive how these values can influence the structure of the graph. This understanding will aid them in constructing their own graphs and charts in the future, a skill applicable in many academic and professional fields.Observation and Comparison SkillsThe ability to compare different graphs and observe similarities and differences is a vital skill that should be honed when completing this worksheet. Observational and comparison skills are not only essential for mathematics and statistics, but they're also valuable in everyday life. It enables students to compare different situations, make judgments, and take suitable actions accordingly.Conceptual Understanding of Mathematical IdeasThe worksheet aids in reinforcing the students' understanding of fundamental mathematical concepts. This is achieved through the practical application of these concepts to real-world scenarios. By being able to match data with its graphical representation, students will solidify their understanding of these mathematical principles, fostering future learning and comprehension.
Matching Graphs
3md3

×
Description:
"This worksheet is designed to boost children's math skills through a series of six problems focused on Matching Graphs. Using colorful and engaging tables, each problem encourages children to discern patterns and analyze data. The worksheet can be easily customized for individual needs, converted into flash cards for hands-on learning, or utilized as a resource for distance learning. This ready-to-use educational tool promotes a fun, interactive way to master math concepts in a contemporary learning environment."

×
Student Goals:
Problem Solving SkillsUpon completing the 'Matching Graphs' worksheet, students will be able to enhance their problem-solving skills. The worksheet presents multiple problems that require students to analyze data in order to find the correct answers. This helps them to develop critical thinking and strategy development skills needed in problem-solving.Data AnalysisThe math worksheet will enable students to improve their ability to analyze and interpret data, a key mathematical skill. By working through each of the problems presented, they will have the chance to practice their data reading, comparison, and interpretation skills. Over time and with consistent practice, their comprehension and speedy interpretation of such data will improve.Understanding GraphsStudents will develop a better understanding of graphs by completing this worksheet. They will learn how to match up different sets of data and gain the ability to extract information from these graphs successfully. The ability to read and understand graphs is a crucial skill in math and science education.Attention to DetailBy precisely studying each set of data and determining the correct match, students will enhance their attention to detail. They will learn to carefully consider each piece of information before arriving at a conclusion, which is a valuable skill in many aspects of life.Accuracy and EfficiencyAs students complete the worksheet, they are likely to improve their accuracy and efficiency in dealing with numerical data. They will become more adept at recognizing patterns and making correct decisions quickly. This will boost their overall mathematical prowess and efficiency.Mathematical VocabularyThe worksheet will also help students in familiarizing with and understanding the common mathematical terms and language used in graphs and data analysis. This will enhance their mathematical vocabulary and communication, thus deepening their overall comprehension of the subject.
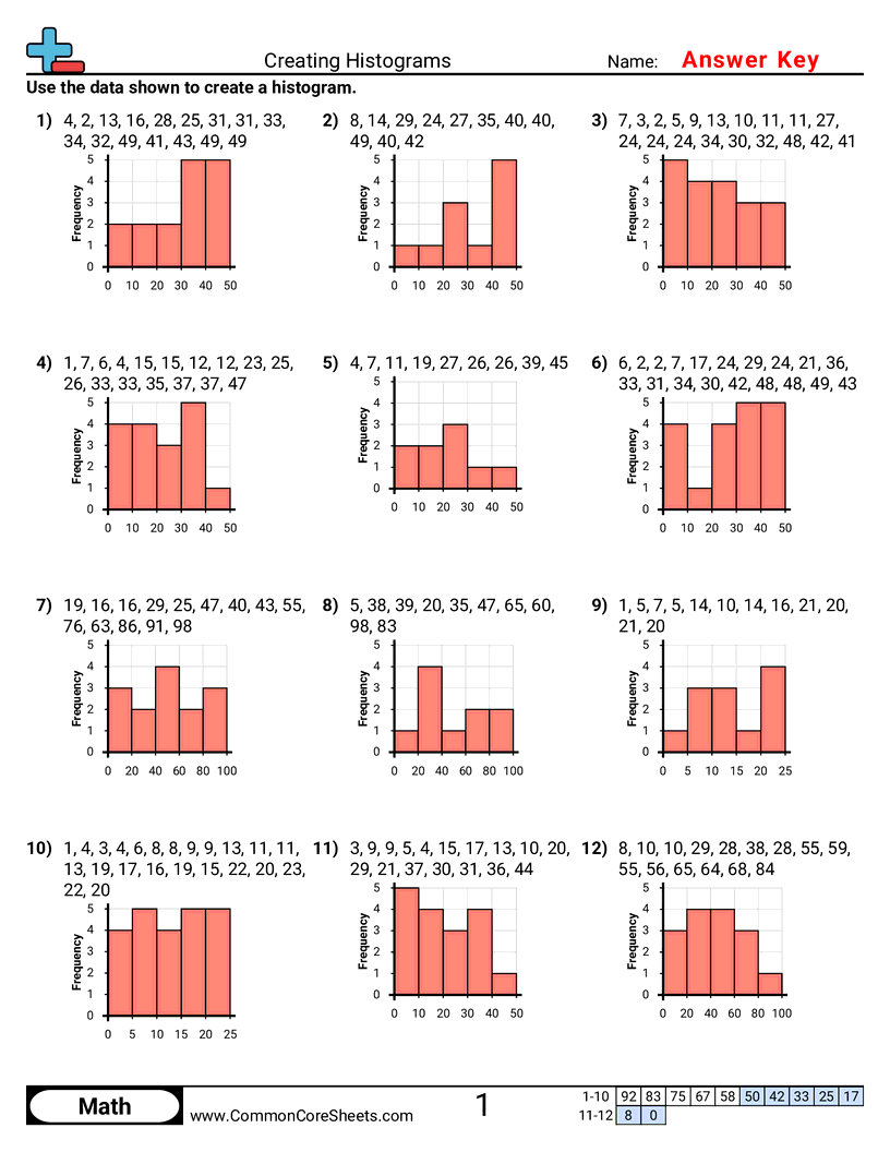
Creating Histograms

×
Description:
"This worksheet is designed to enhance children's comprehension of histograms. It provides twelve interactive math problems that require the creation and analysis of histograms using various data sets. The resource can be customized and converted into flash cards to accommodate different learning styles. It also supports distance learning environments, making it a versatile tool for teaching fundamental math skills."

×
Student Goals:
Enhanced Understanding of HistogramsUpon successfully completing the worksheet, students will have an enhanced understanding and practical proficiency of how to create histograms. This graphical display of data using bars of different heights is a vital component of maths, statistics and data analysis. Visualization tools like histograms provide a more tangible and simple way for students to understand quantitative data.Develop Data Interpretation SkillsThrough these exercises, students will develop skills to analyse data sets and narrate statistical information by visualizing it onto graphs. These skills are fundamental building blocks in basic mathematics, science experimenataion, and other data-driven tasks, paving the way for advanced statistical analysis in later years of education.Practical Application of Classroom LearningThese problems provide students an opportunity to apply what they have learned in the classroom about histograms. Through continued practice, they will be able to quickly and accurately create histograms, applying their lessons to solve practical problems.Boosts Problem-Solving and Critical ThinkingBuilding histograms requires students to identify relevant data, sort it into logical categories, and then display those categories on a graph without distorting the representation. It cultivates problem-solving skills as students must decide how to best represent their data. This worksheet fosters critical thinking and strategic planning abilities in students.Prepares for Advanced Mathematical ConceptsUnderstanding how to construct histograms prepares students for more advanced statistical and mathematical concepts. Proficiency with histograms is often necessary for understanding distribution, skewness, peaking and other statistics concepts. It allows them to comprehend data patterns, variability, and other higher-level data interpretation skills down the line.Enhances Numeric ProficiencyThe worksheet fosters a better understanding and manipulation of numbers. In doing so, students sharpen their numerical skills and develop precision and speed in calculations.
Interpreting Histograms

×
Description:
"This worksheet is designed to enhance children's understanding of interpreting histograms in math, sharpening their skillset with 8 interactive problems. It aids in visualizing data distribution and comprehending class scores. Its flexible design allows customization to fit each student's needs and can easily be converted into flashcards or utilized in distance learning settings, making math learning fun and accessible anywhere."

×
Student Goals:
Understanding HistogramsUpon completion of this worksheet, students should have acquired an in-depth understanding of histograms and how to interpret them. They will be able to analyze the frequency distribution of a set of data, presented in the graphical form of a histogram. Having achieved this, they can swiftly identify the range within which most data points fall.Data InterpretationStudents will hone valuable data interpretation skills, equipped to read and analyze histograms in multiple contexts. For instance, they will successfully deduce both the most common and less frequent values within a given set, such as students’ scores or the quantity of goods sold. Their improved ability to spot trends and outliers in data sets will enhance their comprehensive skills in data analysis.Problem Solving SkillsThe worksheet tasks will foster development of problem solving skills. With the application of logical reasoning and mathematical knowledge, students will be able to answer questions based on given histograms effectively. This process of critical thinking will positively impact their ability to solve complex problems and apply these skills in daily situations.Application in Real-World ContextsThrough these exercises, learners will acknowledge the importance of histograms in real-world applications, enabling them to interpret consumer behaviour, survey results, or academic performance, among other practical uses. This knowledge will make them adept at handling, presenting, and interpreting data professionally and academically, facilitating data-driven decision making.Mathematical LiteracyUpon completing the worksheet, students will have made substantial progress in their mathematical journey, particularly in the field of statistics. They will be able to conveying complex ideas and quantitative data in an accessible way using histograms. This important step will reinforce previous studies and prepare them for more advanced mathematical challenges.
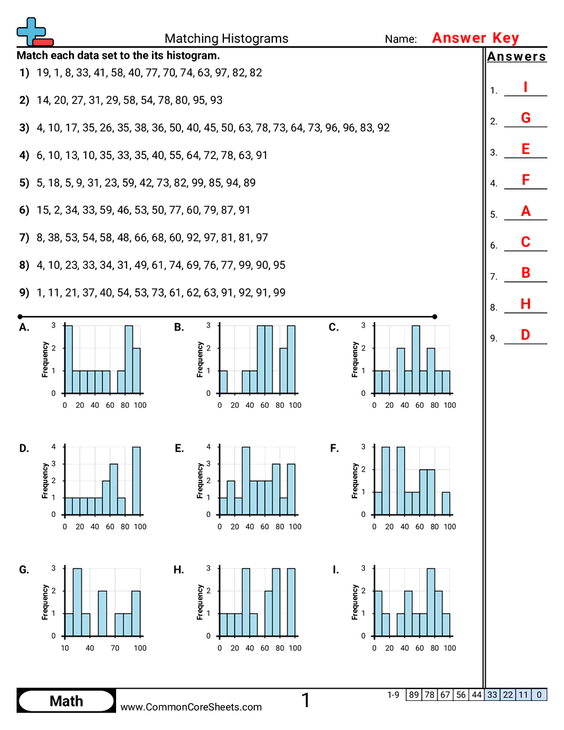
Matching Histograms

×
Description:
"This worksheet is designed to enhance children's mathematical skills through interactive exercises on Matching Histograms. Consisting of 10 detail-oriented problems, it encourages a deeper understanding of data interpretation and number sequences. The customizable nature of this worksheet allows it to be converted into flashcards or integrated into distance learning modules, adapting effortlessly to diverse learning techniques. A vital resource for mastering math fundamentals."

×
Student Goals:
Understand HistogramsUpon completion of the 'Matching Histograms' worksheet, students will have effortlessly mastered the concept of histograms. They will have a crystal clear understanding of how histograms are used to represent data visually. This experience will provide them with the knowledge that a histogram reflects frequency distribution by representing the frequencies of different ranges of continuous data.Analyze DataAfter successfully finishing the worksheet, students will be proficient in understanding and analyzing different sets of numbers, thus enabling them to recognize patterns and make educated predictions. They will be able to identify trends in data and analyze the shapes and scales of histograms.Improve Problem-Solving SkillsSolving the problems mentioned in the worksheet will help the students to enhance their problem solving and logical thinking skills. These skills are critical as they assist students in developing methods and solutions for different mathematical problems.Develop Proficiency in MathOnce the 'Matching Histograms' worksheet is completed, students will have deepened their understanding and proficiency in math, specifically in the area of data representation. This will lay a strong foundation for additional topics, and provide them with the confidence to tackle more complex mathematical problems in the future.Apply Knowledge in Real-Life SituationsThe knowledge acquired from this worksheet goes beyond textbooks. With continuous practice, students can apply this understanding in their daily lives, like interpreting statistical data represented in newspapers, digital media, or research papers correctly.