Home Favorites My Account Menu
login
Playwire Advertisement

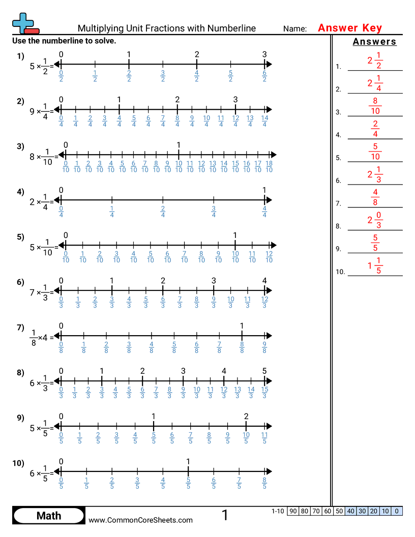
Multiplying Unit Fractions by Whole Numbers

Each worksheet has 20 problems multiplying a unit fraction by a whole number.
Student Objectives
  • Multiply a unit fraction by a whole number to find the product.
  • Use repeated addition to understand what it means to multiply a fraction by a whole number.
  • Explain the result as “that many copies of the fraction” (for example, 3 × 1/4 means three one-fourths).
Tags
numerichorizontalfractionsmultiplication
Standards
Playwire Advertisement